A study led by Professor Can Wang's team at School of Environment, Tsinghua University evaluates the benefits of repositioning coal power from baseload to flexible resources in accelerating net-zero transition of China’s power system from three aspects: mitigating coal power stranded asset risks, enhancing short-to-medium-term renewable energy integration, and reducing transition costs of power system. These findings provide scientific support for coal-dependent economies to pursue a just and orderly energy transition.
The United Arab Emirates (UAE) Consensus, reached at the 28th Conference of the Parties to the United Nations Framework Convention on Climate Change, underscores the importance of transitioning away from fossil fuels in energy systems in a just, orderly and equitable manner, yet the appropriate pathway remains unclear. As the power sector’s net-zero transition is crucial for achieving carbon neutrality goals, large-scale integration of variable renewable energy (VRE) like wind and solar PV—while driving rapid emissions reductions—faces integration challenges, constrained by limited natural gas resources and high energy storage costs. For coal-dependent economies like China, the rapid coal phase-out under tight carbon neutrality timelines leads to massive stranded assets and socio-political infeasibility. Urgent pathways are needed to balance stranded assets risk mitigation, low-cost renewable integration, and system-wide decarbonization.
The study employs a provincial-level power system optimization model for China, incorporating intertemporal decisions on coal power early retirement, carbon capture and storage (CCS) retrofits, and hourly dispatch. Six scenarios were designed by combining carbon emission caps and coal power roles. Three emission caps, including REF (Reference, no climate policy), MOD (Moderate, carbon peaking by 2030 and neutrality by 2060), and STR (Stringent, carbon peaking by 2025 and neutrality by 2050) are designed, and two coal power roles, including Base (Baseload, annual utilization hours > 5000 and minimum output is 70%) and Flex (Flexible dispatch, no utilization constraints and minimum output is 40%) are introduced.

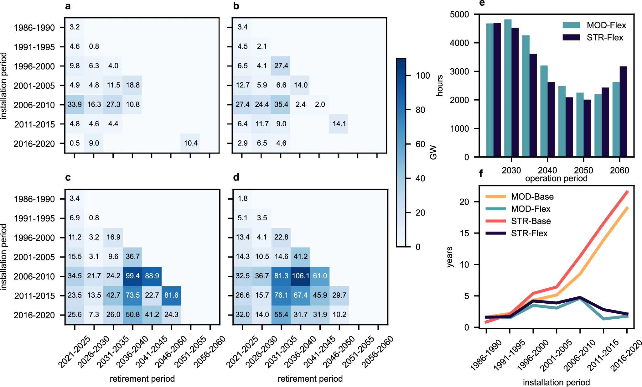
Panels (a–d) show the early retired capacity heatmaps for the MOD-Flex, STR-Flex, MOD-Base, and STR-Base scenarios, respectively. Each cell in the heatmaps represents the retired capacity during the retirement period (x-axis) of existing coal power plants, which were constructed during the installation period (y-axis). e The average utilization hours of coal power plants during different operation periods for the MOD-Flex and STR Flex scenarios. f The average lifespan loss of existing coal power plants constructed during different installation periods (x-axis) under the four scenarios. MOD and STR represent moderate and stringent emission caps, respectively; Flex and Base represent that coal power can be dispatched flexibly and operates as a base load, respectively. GW gigawatt. Source data are provided as a Source Data file.
The article has three aspects of key findings. First, flexible dispatch of coal power reduces pressure for early retirement, avoiding 617.8–651.2 GW of stranded capacity and cutting average lifespan losses of existing coal plants by 7.9–9.6 years; second, by lowering reliance on costly gas power and energy storage technologies, flexible dispatch of coal power enables an additional 194.0–244.8 GW of VRE capacity by 2030, with regional variations tied to resource endowments; third, transition costs decrease by approximately $176 billion USD, primarily from reduced fuel expenses and avoided investments in gas power and storage capacity.

a Capacity mix in 2030; (b) capacity mix in 2045; (c) capacity mix in 2060; (d) generation mix in 2030; (e) generation mix in 2045; (f) generation mix in 2060. Scenario names at the X-axis are combinations of two dimensions. REF, MOD, and STR represent no, moderate and stringent emission caps, respectively; Flex and Base represent that coal power can be dispatched flexibly and operates as a base load, respectively. PV solar photovoltaic technology, CCS carbon capture and storage, W/ with, W/O without, GW gigawatt, TWh terawatt-hour. Source data are provided as a Source Data file.
The study underscores that coal power transition strategies must align with system-wide carbon neutrality pathways. An orderly transition—emphasizing flexibility retrofits, phased retirements, and CCS adoption—plays a critical role in risk mitigation, emissions reduction, and cost optimization. Regionally tailored approaches, considering coal prices, renewable potential, and carbon storage availability, are essential. Effective policy mixes (e.g., electricity market reforms, capacity pricing mechanisms, carbon markets) are needed to address incentive misalignments and maximize coal power’s value as a flexibility provider.

a The percentage of power system transition costs relative to the total system costs in the REF-Flex scenario; (b) the discounted power system transition cost components for the scenarios compared to REF-Flex; (c) the difference in cost components between MOD-Base and MOD-Flex by periods; (d) the difference in cost components between STR-Base and STR-Flex by periods. REF, MOD, and STR represent no, moderate and stringent emission caps, respectively; Flex and Base represent that coal power can be dispatched flexibly and operates as a base load, respectively. ΔMOD represents the difference in cost components between MOD-Base and MOD-Flex, and ΔSTR represents the difference in cost components between STR-Base and STR-Flex. CCS carbon capture and storage, T&D transmission and distribution, O&M operation and maintenance. Source data are provided as a Source Data file.
The findings were published in Nature Communications on March 8, 2025 with the title “Repositioning coal power to accelerate net-zero transition of China’s power system”. Kangxin An, a Ph.D. candidate at School of Environment, Tsinghua University, is the first author. Co-authors include Professor Xinzhu Zheng (School of Economics and Management, China University of Petroleum-Beijing), Professor Wenjia Cai (Department of Earth System Science, Tsinghua University), and others, with Professor Can Wang (School of Environment, Tsinghua University) as the corresponding author. The research was supported by the National Natural Science Foundation of China.
Paper Link: https://doi.org/10.1038/s41467-025-57559-2