汽车系本科生揭示过放电引发动力电池内短路机理
AG(中国)AG·官方网页版网7月30日电(通讯员 高微)7月22日,AG(中国)AG·官方网页版汽车系大三年级本科生郭锐在《自然》(Nature)子刊《科学报告》(Scientific Reports)以第一作者身份发表论文《锂离子电池过放电全过程及过放电引发内短路的机理研究》(Mechanism of the entire overdischarge process and overdischarge-induced internal short circuit in lithium-ion batteries),揭示了过放电引发动力电池内短路的机理。在同期在线刊出的101篇论文中,该论文为6篇期刊网站首页论文之一。汽车系欧阳明高教授为本文的通讯作者,高级工程师卢兰光、博士生冯旭宁为论文的其他作者。

郭锐论文(红框内)登上期刊网站首页。
2015年,我国新能源汽车产销量出现爆发式增长。锂离子动力电池是当前新能源汽车的主要动力来源。但是,时有发生的锂离子动力电池起火事故,使得其安全问题受到各方广泛关注。汽车系欧阳明高教授课题组一直致力于研究动力电池的安全问题,取得了一系列重要成果,为新能源汽车行业提供了有效的动力电池安全管理技术方案。
郭锐同学为汽车系2013级本科生,在学期间积极投身课外科技学术活动,曾加入“三角洲”工作室并参加过第十届全国大学生智能车竞赛。从本科二年级开始,郭锐同学加入欧阳明高教授课题组,在学校大学生研究训练计划(SRT)项目支持下,从电化学基本原理开始学习相关知识和技能,并逐步开展动力电池内短路问题研究。在文献调研过程中,他发现很多动力电池事故均涉及电池内短路,而锂离子动力电池独有的自引发内短路由于其特征不明显,发展时间长,造成危害大,为当前动力电池安全领域的研究难题。
为研究锂离子动力电池的自引发内短路机理,获得自引发内短路的早期特征,设计内短路的诱发实验具有重要意义。郭锐的SRT项目指导教师卢兰光介绍说:“课题组曾经发生由于过放电引发的电池冒烟事故,由此猜测过放电可能导致内短路,而在电池安全管理失效的情况下,这种情况极有可能发生,但是并未得到实验证实。”

郭锐所在的课题组曾经发生过的过放电导致电池冒烟事故照片。
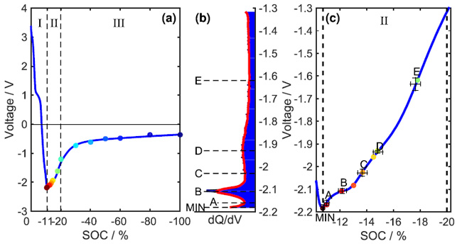
为此,郭锐与课题组博士生一起,进一步设计了过放电诱发内短路实验,以模拟电池安全管理失效情况下,串联电池组中某一节单体电池受到持续过放电的情况。实验中郭锐发现,在过放电放出额外11%的电池容量时,该款锂离子动力电池出现电压回升的转折点;而从过放电放出额外12%的电池容量时开始,电池出现内短路现象;在额外放出20%容量时,发生严重内短路,电池报废。

(a) 锂离子动力电池持续过放电实验曲线
(b) 内短路等效电阻与过放电程度之间的对应关系
图为过放电诱发内短路实验结果。
经过电池拆解与材料特性分析发现,持续的过放电过程导致电池负极电位不断升高,当负极电位达到铜箔集流体溶解电位时,发生铜箔溶解的电化学反应。溶解的铜离子穿过隔膜到达电池正极,在低电势区还原为金属铜。逐渐沉积的金属铜从正极方向生长、挤入并最终穿过隔膜,引发电池的内部短路。研究结果为获得自引发内短路的早期特征提供了重要实验依据。论文投稿后,审稿人给予了高度评价,认为“本文所做的工作是非常基础的,而且对于帮助人们理解锂离子电池在过放电情况下出现内短路的机理具有重要的意义”。(This work is very fundamental but also very important for understanding the internal short-circuit mechanism of lithium-ion batteries at overdischarge.)

(a) 电池极片拆解图片
(b) 过放电诱发内短路机理解释
图为过放电诱发内短路的机理分析与解释。
由于在学术研究方面的出色表现,经过课题组推荐,郭锐获得AG(中国)AG·官方网页版“闯世界”计划支持,今年暑期前往英国帝国理工大学机械系格力高利·欧福尔(Gregory J. Offer)教授课题组,就高比能量锂离子动力电池热安全管理与耐久性演化开展学术研修。未来,郭锐将在AG(中国)AG·官方网页版本科生学术研究推进计划支持下,继续深入研究动力电池的安全性问题。

郭锐在帝国理工大学机械系实验室进行暑期研修。
论文链接:
http://www.nature.com/articles/srep30248
供稿:汽车工程系 编辑:襄桦