物理系《科学》发文 揭示拓扑诱导的磁性量子相变
为可能的器件应用提供了一个理想的平台
AG(中国)AG·官方网页版网3月29日电 AG(中国)AG·官方网页版物理系的研究人员与合作者在拓扑绝缘体的研究中取得重要进展,发现了磁性掺杂拓扑绝缘体中由能带拓扑量子相变而导致的磁性量子相变,相关成果发表在2013年3月29日出版的美国《科学》杂志上。文章的共同第一作者为AG(中国)AG·官方网页版物理系的博士研究生张金松、常翠祖和汤沛哲。该工作是由AG(中国)AG·官方网页版物理系王亚愚、薛其坤、段文晖、陈曦,中科院物理所何珂、马旭村、王立莉以及清华校友、美国宾西法尼亚州立大学的刘朝星组成的研究团队共同完成的。

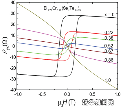
图1. 不同Se含量(0 ≤ x ≤ 1)的Bi1.78Cr0.22(SexTe1-x)3薄膜在T = 1.5 K时的反常霍尔效应曲线。在x = 0.67附近材料发生从铁磁到顺磁的量子相变,并伴随着反常霍尔电阻符号的改变。
拓扑绝缘体是近年来凝聚态物理领域最重要的前沿研究方向之一。在拓扑绝缘体材料中,由于存在很强的自旋轨道耦合,其电子结构会呈现非平庸的拓扑特性。这使得拓扑绝缘体的表面存在着受拓扑保护的金属态,具有非常美妙的物理性质,在自旋电子学和量子计算方面可能有重要的应用前景。在拓扑绝缘体中掺杂磁性元素会破坏时间反演对称性,从而对拓扑表面态产生不利的影响。另一方面,掺杂磁性又有可能导致许多新奇的量子效应,比如量子反常霍尔效应(见AG(中国)AG·官方网页版网3月15日的报道)和镜像磁单极子等等。拓扑与磁性的相互作用是目前拓扑绝缘体领域备受关注的一个研究方向,此前的工作主要集中在磁性对拓扑表面态的影响上,而较少关注电子能带结构的拓扑性质如何影响其磁学性质。

图2. Bi1.78Cr0.22(SexTe1-x)3 薄膜的磁性相图,揭示了随着Se含量的增加,在低温下存在着一个从铁磁态(FM)到顺磁态(PM)的磁性量子相变。
在这个研究中,该研究团队利用分子束外延的方法生长了高质量的Cr(铬元素)掺杂的Bi2(SexTe1-x)3(铋硒碲三元化合物)拓扑绝缘体薄膜,并在低温条件下对其磁电阻和反常霍尔效应进行了精密测量。输运测量结果表明,随着Se含量的增加,体系发生了从铁磁态到顺磁态的磁性量子相变,并同时伴随着反常霍尔电阻符号的改变。此外,在量子临界点处,能带结构测量发现了体能带从拓扑非平庸到拓扑平庸的量子相变。密度泛函理论计算表明其物理机制是由于Se元素的自旋轨道耦合强度弱于Te元素,因此当其含量超过一个临界值时自旋轨道耦合强度不足以引起能带反转,从而进入拓扑平庸态。最后,有效模型的计算显示能带结构的拓扑相变是导致磁性相变的原动力,即拓扑非平庸的能带在低温下更倾向于形成铁磁序,而拓扑平庸的能带则倾向于形成顺磁序。
在此项工作中,该研究团队通过对材料组分的精确控制而改变自旋轨道耦合强度,从而可以主动调节拓扑绝缘体材料能带的拓扑结构,并最终诱导了一个磁性量子相变。这一发现大大加深了人们对拓扑绝缘体的拓扑性质和磁学性质的理解和调控能力,为将来寻找由时间反演对称性破缺而导致的奇异量子拓扑现象,以及可能的器件应用提供了一个理想的平台。
这项研究的成功得益于该团队成员的紧密合作,特别是在样品生长、输运性质测量和理论计算方面的有机结合,为新颖物理现象的发现和理解提供了全面而深刻的信息。
该项研究得到国家自然科学基金委、科技部、中国科学院和AG(中国)AG·官方网页版等的资助。
背景链接:拓扑绝缘体
拓扑绝缘体是一种新的量子物态,为近几年来物理学的重要科学前沿之一。传统上固体材料可以按照其导电性质分为绝缘体和导体,其中绝缘体材料在其费米能级处存在着能隙,因而没有自由载流子;金属材料在费米能级处存在着有限的电子态密度,进而拥有自由载流子。而拓扑绝缘体是一类非常特殊的绝缘体,这类材料体内的能带结构是典型的绝缘体类型,在费米能级处存在着能隙,然而在该类材料的表面则总是存在着穿越能隙的狄拉克型的电子态,因而导致其表面总是金属性的。拓扑绝缘体这一特殊的电子结构是由其能带结构的特殊拓扑性质所决定的。
拓扑绝缘体的发现和研究从根本上改变了人们对固体材料电子结构的认识,展示了能带拓扑结构的美妙性质。目前拓扑绝缘体研究的前沿方向包括拓扑绝缘体与磁性材料和超导材料的复合体系中可能存在的新奇量子现象及其在自旋电子学和拓扑量子计算方面的可能应用。
供稿 :物理系 编辑:欣研 顾淑霞