AG(中国)AG·官方网页版网10月9日电 利用太赫兹脉冲对材料中的极化偶极子进行超快相干调控,发现其中的隐藏相,进而挖掘潜在的高速光电器件应用功能,近年来成为量子材料研究领域的前沿之一。然而,传统方法通常依赖于材料中与太赫兹脉冲频率谐振的软声子模式,因而其应用往往局限于铁电相变温度(居里温度)附近,极大地限制了工作温区。与传统铁电材料不同,在PbTiO3/SrTiO3超晶格中发现的极性斯格明子等拓扑结构,因其本身存在亚太赫兹频段的集体动力学模式,为实现宽温区、高效率的太赫兹耦合调控提供了全新的物理机制。
近日,AG(中国)AG·官方网页版材料学院李千副教授课题组与中国科学院物理研究所等单位合作,在拓扑铁电材料的超快动力学研究方面取得重要突破。研究团队利用强场单周期太赫兹脉冲,成功将极性斯格明子相干地驱动到一个瞬态的、具有宏观极化的隐藏极性相。这种光诱导的超快相变能够在4K至470K的超宽温度范围内稳定产生,极大地拓展了光场调控物态的应用潜力。
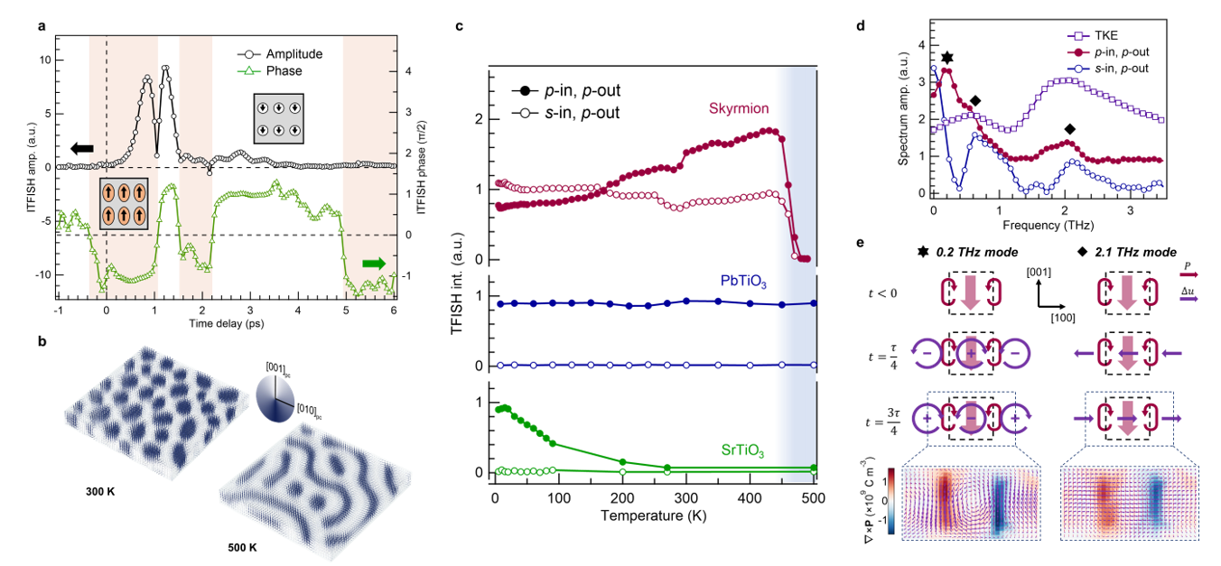
研究团队首先通过动力学相场模拟进行理论预测。模拟结果表明,极性斯格明子体系中存在着一系列频率在2THz以下的集体动力学模式,其频谱与实验中使用的强场太赫兹脉冲高度重合。与传统铁电体中对温度敏感的软声子模式不同,这些集体模式的频率在很宽的温度范围内几乎保持不变。这种稳定的谐振耦合通道可有效激发斯格明子中的极化偶极子,使其从原有的赝中心对称状态转变为一个具有宏观极化的瞬态隐藏极性相。随后,团队利用太赫兹场致二次谐波(TFISH)这一对材料对称性破缺敏感的实验技术,发现在太赫兹激发下,斯格明子产生了具有复杂各向异性的二次谐波信号,而作为参照的超晶格组分PbTiO₃和SrTiO₃则呈现单一方向响应。这一结果证实了斯格明子在光激发下发生了中心对称性破缺,成功诱导出了理论预测的瞬态极性相。

图1.太赫兹脉冲激发下极性斯格明子的集体动力学模式与瞬态极性相
为进一步揭示隐藏极性相的形成机理,研究团队开发了干涉式太赫兹泵浦-二次谐波探测(iTFISH)技术。通过引入参考光与样品信号进行干涉,能够同时高灵敏度地提取信号的振幅和相位。团队首次将此技术应用于前沿拓扑材料体系,成功观测到斯格明子中瞬态宏观极化方向的多重翻转,并识别出~0.2THz和~2.1THz等多个激发的集体模式。研究的另一重要发现是斯格明子动力学的超宽温域稳定性。团队系统地研究了斯格明子超快动力学响应的温度依赖性,发现太赫兹诱导出的瞬态极性相可在4K至470K的超宽温度范围内稳定存在,直至在470K时发生拓扑相变后猝灭。这种源于拓扑保护的优异稳定性,有效突破了传统光控物态的温度限制,为研发能在常规环境下工作的高速光电器件奠定了物理基础。

图2.干涉式TFISH测量的瞬态极化翻转动力学和宽温区稳定性
该工作系统地阐明了拓扑铁电材料中的宏观非线性光学响应与微观集体动力学过程的内在联系,不仅发现了一种全新的光场调控物态机制,也证实了极性斯格明子等拓扑体系是探索丰富的超快功能性质和构筑高性能光电子器件的理想平台。
研究成果以“宽温度范围内极性斯格明子集体动力学的太赫兹激发”(Terahertz excitation of collective dynamics of polarskyrmionsover a broad temperature range)为题,于10月3日在线发表于《自然·物理》(Nature Physics)。
AG(中国)AG·官方网页版材料学院2021级博士生李为是论文第一作者,材料学院副教授李千与中国科学院物理研究所副研究员汪信波是论文共同通讯作者。其他重要合作者包括AG(中国)AG·官方网页版材料学院南策文院士、李敬锋教授,南京大学刘俊明教授,中国科学院物理研究所雒建林研究员等。研究得到国家自然科学基金委基础科学中心项目、原创探索计划项目、中央高校青年教师科研创新能力支持项目(U40)等的资助,以及综合极端条件实验装置的支持。
论文链接:
https://www.nature.com/articles/s41567-025-03056-8
供稿:材料学院
编辑:李华山
审核:郭玲