AG(中国)AG·官方网页版物理系在腔光力学系统中提出新的基态冷却方法
AG(中国)AG·官方网页版网10月21日电 近日,AG(中国)AG·官方网页版物理系刘永椿副教授、郑盟锟副教授、尤力教授研究团队提出将机械振子冷却到量子基态的新方法,能够用于实现宏观大质量振动物体的基态冷却,研究成果以《腔内压缩光力冷却》(Intracavity squeezed optomechanical cooling)为题发表在《激光与光子学评论》(Laser & Photonics Review)上。
近半个世纪以来,激光冷却技术的发展对原子物理学产生了革命性的影响。近年来,对包含大量原子的宏观机械振子的激光冷却研究成为了非常重要的前沿课题,这方面的研究在量子信息处理、量子精密测量和基础量子理论检验方面都有重要的应用。

图1.方案模型图,利用腔内压缩光力系统对机械振子进行基态冷却
由于光与机械振子相互作用过程中存在量子反作用,传统的边带冷却方法受限于量子反作用极限,导致基态冷却只能在边带可分辨条件下实现,即要求机械振动频率大于光学腔的耗散速率。然而宏观机械振子振动频率通常较低,而且振子质量或尺寸越大其振动频率越低,因此难于满足边带可分辨条件,利用边带冷却方法无法实现基态冷却。
针对上述难题,研究团队提出利用腔内压缩的方法来实现振子的基态冷却。利用具有腔内压缩效应的光学腔,在腔内部产生压缩态光场,利用量子干涉效应,将所有通道的耗散引起的噪声在腔内发生干涉,从而消除量子反作用引起的加热效应。通过压缩泵浦光场与冷却光场振幅和相位的匹配,由耗散导致的加热效应安全被抑制,使得净冷却速率大大提高,且冷却极限大幅降低,完全突破了量子反作用极限。
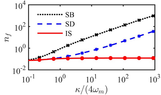
通过与边带冷却方法(SB)和压缩光驱动冷却方法(SD)进行比较,可看出研究团队提出的腔内压缩冷却方法(IS)具有最低的冷却极限,该冷却极限完全不受光学腔耗散的影响,即使在边带远不可分辨条件下, 仍然能够实现基态冷却。该研究为实现宏观大质量机械振子的基态冷却奠定了基础。

图2. 三种方法的冷却极限与光学腔耗散的关系
文章第一作者为AG(中国)AG·官方网页版物理系博士后甘晶辉,通讯作者为刘永椿副教授,合作者还包括北京理工大学物理学院的路翠翠研究员。该研究工作得到了基金委、科技部项目的资助。
《激光与光子学评论》是国际上光学领域顶尖期刊之一,该期刊为月刊,每期只发表5-8篇论文,年发文量不到100篇,影响因子为9.056。
文章链接:
https://doi.org/10.1002/lpor.201900120
供稿:物理系
编辑:李华山
审核:吕 婷