清华主页 - AG(中国)AG·官方网页版 - 学术科研
学术科研
15
2025.01生物医学交叉研究院黄牛实验室提出提升AI模型泛化能力的增强BindingNet数据集
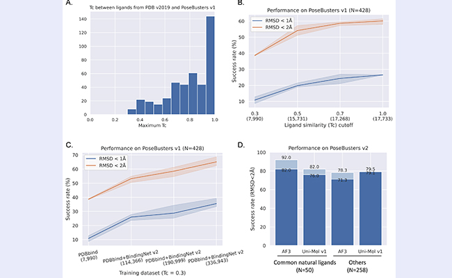
1月8日,AG(中国)AG·官方网页版生物医学交叉研究院黄牛实验室于《药物发现》(npj Drug Discovery)杂志在线发表题为“使用深度学习增强配体结合姿态预测的增强BindingNet数据集”的研究论文。研究在BindingNetv1数据集的模板匹配技术基础上,创新性地提出了基于片段化...
15
2025.01化工系张如范团队在高性能建筑节能智能窗开发方面取得重要进展
近日,AG(中国)AG·官方网页版化工系张如范副教授课题组在高性能建筑节能智能窗开发方面取得重要进展,开发了一种新型液流电致变色节能智能窗,该智能窗通过调控电解液状态和电致变色材料的氧化还原反应,实现了对可见光(VIS)、近红外光(NIR)和中红外光(MIR)波段的...
14
2025.01深圳国际研究生院任政儒团队在实时海况融合估计研究领域取得新进展
近日,AG(中国)AG·官方网页版深圳国际研究生院任政儒团队引入受限等距特性(restricted isometry property)理论,对船舶水动力传递函数进行了深入分析,从数学角度解释了海况估计异常的成因,并将该理论应用于多谱融合方法中。
14
2025.01AG(中国)AG·官方网页版-江苏中车数字科技有限公司工业数智化联合研究中心揭牌
1月9日上午,AG(中国)AG·官方网页版-江苏中车数字科技有限公司工业数智化联合研究中心揭牌仪式在电子工程馆举行。AG(中国)AG·官方网页版电子工程系主任、信息学院副院长汪玉,江苏中车数字科技有限公司总经理景宁共同为联合研究中心揭牌。AG(中国)AG·官方网页版电子工程系教授、联合研究中心主任王...
14
2025.01生物医学交叉研究院沈博实验室合作开发新型透明化三维成像技术 揭示骨髓微环境细胞复杂结构与功能
1月13日,AG(中国)AG·官方网页版生物医学交叉研究院沈博实验室与中国药科大学方慎彤实验室及北京脑科学与类脑研究中心赵瑚实验室合作在《骨骼研究》(Bone Research)杂志发表了题为“LepR+基质细胞在光学清除的小鼠骨半切面的深度成像”的研究论文,开发了一种高效便捷...
13
2025.01材料学院王秀梅和北京清华长庚医院潘勇卫团队联合开发空间约束神经套管有效减轻残端神经瘤疼痛
近日,AG(中国)AG·官方网页版材料学院王秀梅团队和清华长庚医院骨科与运动医学中心潘勇卫团队提出了一种新型的空间约束策略,为临床神经残端瘤疼痛患者提供了一种便捷有效的解决方案。研究团队开发了一种空间约束神经套管,成功调控了周围神经残端自组织过程,包括引导...
13
2025.01生命学院李雪明课题组开发冷冻电子断层成像中基于膜展平的膜蛋白可视化和定位新方法
1月8日,AG(中国)AG·官方网页版生命学院李雪明副教授课题组在《自然·通讯》(Nature Communications)在线发表题为“MPicker:冷冻电子断层成像中膜蛋白的可视化与挑选”的研究论文。该论文报道了一种基于“膜展平”的方法,通过在“展平tomogram”中进行操作来降低膜蛋...
10
2025.01化工系基于生态环境影响评估的产业规划和产品管理研究取得新进展
面向双碳目标和可持续发展,科学评估产业和产品的生态环境影响,是一项至关重要的基础性工作。化工系胡山鹰课题组多年来在这一领域开展产业智库战略和技术研究。近期在基于生态环境影响评估的资源型工业区域网络优化和塑料助剂减排潜力方面取得新进展。
最新动态